Danh sách thí sinh dự thi CCVC cơ quan Đảng, MTTQ, tổ chức CTXH năm 2021
- Chi tiết
- Chuyên mục: Tin tức - Sự kiện
- Ngày đăng: 28 Tháng 2 2022
- Tác giả HTU
- Lượt xem: 3455
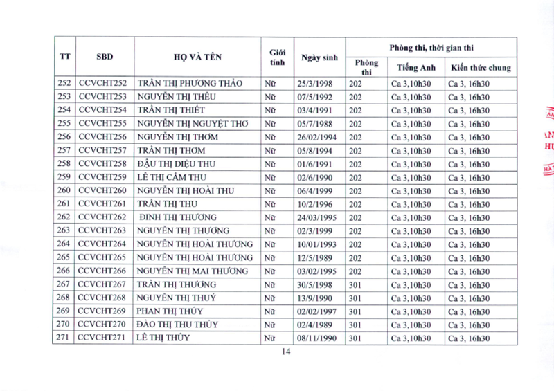
DANH SÁCH THÍ SINH DỰ THI CÔNG CHỨC, VIÊN CHỨC
CƠ QUAN ĐẢNG, MTTQ VÀ CÁC TỔ CHỨC CT-XH NĂM 2021
📌Địa điểm: Trường Đại học Hà Tĩnh, Cẩm Vịnh, Cẩm Xuyên, Hà Tĩnh
✅ Nội quy xem file đính kèm
DANH SÁCH THI NGÀY 15/3/2022
DANH SÁCH THI NGÀY 4/3/2022
Tin mới
- “Nguồn vốn cảm xúc của giáo viên để thành công ở trường học” - 23/03/2022 02:38
- Đợt thực tập sư phạm tuyệt vời của tôi! - 14/03/2022 01:32
- “Chuyển đổi số”, Ứng dụng CNTT phục vụ cho Trường Đại học Hà Tĩnh - 11/03/2022 09:35
- Đại hội Hội Cựu chiến binh Trường Đại học Hà Tĩnh nhiệm kỳ 2022-2027 - 10/03/2022 04:18
- Giảng viên Trường Đại học Hà Tĩnh tham gia tham mưu chính sách cho tỉnh Quảng Trị - 03/03/2022 09:16
Các tin khác
- Trường Đại học Hà Tĩnh thực hiện tốt dân chủ cơ sở, hướng tới lợi ích chính đáng của người lao động - 22/02/2022 00:53
- Tiêm gần 500 liều vacxin Covid 19 cho CBGV và sinh viên Trường Đại học Hà Tĩnh - 18/02/2022 01:32
- Vui hội mùa xuân 2022 - 28/01/2022 01:36
- Trường Đại học Nakhon Phanom gửi lời chúc mừng năm mới Trường Đại học Hà Tĩnh - 26/01/2022 04:59
- Mong Tiến sĩ có nhiều hiến kế hơn nữa để đóng góp vào sự phát triển chung của Nhà trường - 24/01/2022 07:14
- Khoa Sư phạm tổ chức thành công Hội thi Nghiệp vụ sư phạm năm học 2021- 2022 - 21/01/2022 09:44
- Hội nghị tuyên truyền, phổ biến và giáo dục pháp luật - 19/01/2022 03:41
- Hội nghị quán triệt, triển khai các Nghị quyết của Tỉnh ủy Tỉnh ủy Hà Tĩnh - 18/01/2022 07:44
- Sinh viên với An toàn giao thông - 13/01/2022 01:34
- 8 sinh viên Trường Đại học Hà Tĩnh được nhận học bổng Vallet - 11/01/2022 02:23
- “Tỏa sáng Sao Tháng Giêng, Tự hào Sinh viên 5 tốt” - 06/01/2022 03:53
- Giảng viên và Sinh viên Trường Đại học Hà Tĩnh tham gia Cuộc thi “Ý tưởng khởi nghiệp sáng tạo tỉnh Hà Tĩnh” năm 2021 - 24/12/2021 03:22
- Trường Đại học Hà Tĩnh khai giảng năm học mới - 22/12/2021 05:30
- 05 sinh viên Trường Đại học Hà Tĩnh được nhận học bổng VAS - 08/12/2021 09:15
- Chúc mừng LHS Lào nhân ngày Quốc khánh nước CHDCND Lào - 02/12/2021 08:01




















